Agriculture, animal breeding, , selection, breeding plans, practical advice, cattle, sheep, pigs, poultry, identification, recording, references, coefficient of inbreeding, random numbers, glossary
By Dr Clive Dalton
Part IV: Breeding in Practice
Practical breeding plans
This section is about ‘what to do’ in a breeding programme. It can only deal with the general principles as what is done depends entirely on the special needs of each .situation. It often seems in practice that each
problem is a special case and discussing general solutions may seem of limited value.
However, this discussion illustrates the general plan of attack and it is included for this reason. Specific texts (listed .in each section) should be consulted for fuller discussions of each class of livestock. The main principle behind an improvement strategy for a flock or herd is to appreciate that there are four pathways along which the attack can be made.
The breeder can concentrate selection on:
(a) Males to breed males.
(b) Males to breed females.
(c) Females to breed males.
(d) Females to breed females.
As discussed earlier in progeny testing and AI, the male is usually responsible for more offspring than any one female so pathway (a) is a major one for improvement. Likewise, pathway (c) is important and is seen in the contract mating of high-merit cows to breed dairy sires for testing. Pathways (b) and (c) together would be useful again in contract mating, where for example in dairy cattle the daughters of the best proven sire in turn became bull mothers. Pathway (d)is perhaps theleast powerful unless widespread use of ovum transfer is used.
IDENTIFICATION
The success of a breeding programme depends so much on the accuracy of the data collected and here the system of identification can often be the limiting factor. Lost or mis-read tags mean lost data and wasted effort, so identification systems must be of a high standard.
The following are some methods currently used to identify farm animals:
DAIRY AND BEEF CATTLE
Permanent identification
- Metal (aluminium or brass) ear tags- readable at close quarters under restraint.
- Plastic ear tags – for individual or group identification and readable at about 3-5 m.
- Fire brand on hide – readable at 3-5 m if carefully done and the hair is clipped off. Used more in beef than dairy cattle.
- Caustic-burnt hide brand – readable at 3-5 m if carefully done. Used more for dairy than beef cows.
- Freeze brands – readable at 3-5 m if carefully done. Usually require a skilled operator to apply for best results. Brands only show up on dark-coloured cattle as the branded hair grows white.
- Plastic tail tags and hocktags- readable closeup. Used for dairy cows where numbers are to be read in the milking shed or bail.
- Ear tattoos – readable close up only with animal under restraint. Great risk of becoming illegible.
Semi-permanent identification
- Neck tags of various types – metal, plastic, etc., on chains or nylon cords. Readable from 3-5 m.
- Hair dyes or bleaches to write large numbers on the side of the animal readable from 3- 100 m.
Temporary identification
- Paint or spray marks or numbers – readable from 3-100 m.
- Stick-on labels, self-adhesive.
SHEEP
Permanent identification
- Metal (aluminium or brass) ear tags – readable close up under restraint.
- Plastic ear tags – readable at 3-5 m for individual or group identification.
- Ear notches – readable at 3-5 m. An example of a system for numbering using notches is shown in fig. 30.
- Ear tattoos – readable close up under restraint. Great risk of becoming illegible.
- Fire brands burnt on to the horns of horned breeds-readable closeup under restraint.
Semi-permanent
- Neck tags made from plastic, wood, hardboard or metal and attached by nylon cord. Re-usable. Readable from 3-5 m.
- Plastic-covered coloured wire ‘twister’, inserted through a hole in the ear or through the metal tag. Many different colour combination scan be twisted together.
- Paint brands for individual or group identification. Use very sparingly and only approved scourable (washable) paints and raddles should be used.
Temporary identification
- Paint, crayon or spray brands – again used sparingly and approved as scourable.
- Tie-on tapes, labels, ribbons, clip-on coloured clothes pegs, etc.
- Chalk raddle marks -used sparingly and approved as scourable.
- Stick-on labels, self-adhesive.

PIGS
Permanent identification
- Metal ear tags – readable close up under restraint.
- Plastic ear tag – readable at 3-5 m.
- Ear-notching systems – readable close up and up to 3 m. An example of a numbering system is shown in fig. 31.
- Ear tattoos – readable close up under restraint in white ears only.
- Skin tattoos -used prior to slaughter to identify the carcass.

Temporary identification
- Paint or spray marks – readable at 3-5 m.
POULTRY
Permanent identification
- Wing tags or wing bands – metal or plastic for individual or group identification, readable close up or at 3-5 m if large tags are used.
Temporary identification
- Paint or spray marks – readable at 3-5 m.
DAIRY CATTLE BREEDING
In dairy cattle the main records are associated with milk yield, regular calving and milk quality. Most countries have official milk recording services and national herd-improvement programmes. These should be consulted for details. Milk quality assessments require herd testing and laboratory services.
Milk yield has a low to medium heritability indicating that selection gains will be achievable although perhaps slowly. It also has low to medium repeatability indicating that individual selection will make some progress. In other words, the best cows in the herd should be kept, but progeny testing must be used to find the top bulls to mate them. The very top individual cows should be exploited as bull mothers.
Milk quality traits are generally highly heritable and can be improved directly by selection. The genetic correlations among quality components are high and positive. The only problem relationship is the negative genetic correlation between yield and fat percentage – as yield goes up, fat percentage goes down
Aim I : To identify and keep the best dams
Action
1. At calving, record:
- Calf no. and year born (permanent tag)
- Dam no.
- Day born
- Birth weight (optional)
- Sex of calf
- Calving difficulty (using a score such as 1 = not seen; 2 = seen but no assistance; 3 = slight assistance by one person with no aids; 4 = considerable assistance using mechanical and veterinary help).
2. Record milk yield by volume or weight. Butterfat (BF), solids-not-fat (SNF) and protein are the main quality constituents to consider. Specify the number of times milked per day as this greatly affects total lactation yield.
3. Record the dairy temperament of each cow. The aim is to cull those of nervous disposition that cannot adapt to the system, slow milkers, and those prone to mastitis, etc. These animals will generally also be low producers but a double check (on yield and temperament separately) is worthwhile.
4. Record all heat periods of each individual cow after calving and when she is served. The calving date can then be predicted and the calving interval calculated.
The aim is to build up lifetime records on each cow and cull the low yielders as well as any that are difficult to handle or prone to disease within the particular farming routine used. Further culling can be done for milk quality (mainly fat) if this is economically important.
Aim 2: To select the female replacements for sexual maturity pregnancy and ease of handling
Action
1. Cull all heifers that do not show oestrus or become pregnant after a restricted mating period. The length of the joining period with the bull (natural service or AI) depends upon how important the calving spread is, e.g. is it a short calving spread or is it calving all the year round? Once the herd is in milk, again cull on ease of handling with special emphasis on the udder, teats and speed of milking.
2. Only the calves with the best genetic background should be reared.
3. Mate these ‘best-bet’ heifers to the best proven bulls that are available. Often heifers may be mated to beef sires for their first calf to reduce the risk of calving trouble. This will affect genetic gain by lengthening the generation interval but has to be balanced against the risk of injury or
death of the heifer.
Genetic correlations are around zero between growth rate, skeletal size and milk yield so little would be gained by selecting for size. Larger animals would in any case have greater maintenance costs although their beef salvage value may be greater. In practice farmers would usually be more keen to cull the poorly-grown heifers for management reasons knowing that they would not make good cows – regardless of the genetic situation.
Aim 3: Use only the top proven (progeny tested) sires available
Action
1. Progeny testing of sires is an essential part of dairy cattle breeding because dairy traits are not highly heritable and are expressed only in the female. The fact that progeny testing lengthens the generation interval has to be accepted.
In large breeding programmes, however, such as national breeding schemes, the very high selection intensities that can be achieved in bull-proving schemes can help to counteract the effects of longer generation intervals. Generally, the small dairy herd must rely on A1 and leave the responsibility for proving bulls to larger organisations.
Each dairying country has its own system of evaluating dairy bulls but they all use the concept of providing a form of Breeding Value for the sire – in other words a prediction of his ability to produce superior daughters. An example described in some detail below is the Improved Contemporary Comparison (ICC) used in England, Wales and Scotland.
THE IMPROVED CONTEMPORARY COMPARISON (ICC)
This is the comparison of a bull’s daughters with the daughters by other bulls (i.e. contemporaries) calving in the same herd at the same time and treated similarly. This approach of using a contemporary comparison was developed in the 1950s to eliminate the effects of environmental differences between herds and has now been modified into the Improved Contemporary Comparison (ICC). Here, the calculation takes into account and adjusts for the age of the contemporaries, their genetic merit and the season of calving. This means that results from different herds in different years can be combined into a single figure as seen in the calculation in Table 14.

- Column 1 shows two herds (A and B) milked in the same year and the same season, described as two herd-year-seasons. The data are handled in the same batch of records.
- Column 2 shows the number of daughters of the sire being tested (called a Limited Use or LU sire) in each herd-year-season group of daughters.
- Column 3 shows the average milk yields for the LU sire’s daughters, corrected for age and month of calving.
- Column 4 shows the number of daughters by other sires milked in each herd A and B in the same year and season.
- Column 5 is the average milk yield of the contemporaries, again corrected for age and month of calving.
- Column 6 is the known ICC of the sire of the contemporaries and is either added (if minus) or subtracted (if plus) from column 5. This gives the values in column 7.
- Column 8 is thus the average i.e. a weighted average corrected yield of the contemporaries. This average is then subtracted from the average of the daughters of the LU bull to give the answer in column 9.
- The next step is to carry out an adjustment for the different number of daughters and contemporaries involved. The more daughters, the more reliable is the mean and hence the more reliance can be given to the final ICC. This is done by the formula:

These are shown in column 10.
- Columns 9 and 10 are multiplied together to give the answer in column 11 which is the weighted difference.
- Therefore the ‘apparent merit’ of the sire is: 4042/7.92 = 510.4
Thus the LU bull on test here appears to be improving yields by 510 kg over contemporary daughters by other bulls. Now the question remains as to his genetic worth expressed by the ICC. To get this, two further refinements are carried out. The first is to scale the comparison to a base year – a concept of comparing current merit to a base of zero genetic value. The second is to use a weighting (a regression factor) for the number of effective daughters in the comparison: the more there are the greater is the accuracy.
The final ICC of the bull used in this example is +209 kg of milk for 7.92 effective daughters. This means that, on average, daughters of this bull will exceed the base value by 209 kg of milk. As more effective daughters come into milk, the bull’s ICC or proof will alter. The ICC is described as a ‘transmitting ability’. This is half a Breeding Value (BV).
CROSSBREEDING
Crossbreeding has not been used extensively as a means of improving dairy cattle traits in developed countries where there has been more emphasis on within-breed and within-herd improvement through selection. However, crossbreeding and grading up are still valuable techniques to consider, for example, in developing countries where the dairy breeds can contribute improved yield and dairy temperament to native cattle that have heat and insect resistance. For further reading on dairy cattle.breeding see Johansson (Refs 21 and 22) and Rice et. a1.(Ref 23).
BEEF CATTLE BREEDING
In beef cattle the main records needed are pedigree (parentage), growth and calving data. Carcass data collected after slaughter can also be obtained. Most countries have official beef recording schemes and these should be consulted for details of requirements. Examples are the Meat & Livestock Commission (MLC) in England and Wales; Performance Registry International in USA; Record of Production (ROP) in Canada; Beefplan in New Zealand: National Beef Recording Service in Australia.
Aim 1: To identify and retain the best dams
Action
1. At birth record:
- Calf number (permanent tag)
- Dam number
- Day born
- Birth weight (optional)
- Sex of calf
- Calving difficulty (use a score as in dairy cattle).
2. At weaning record:
- Weaning weight (actual)
- Day weaned – to calculate age at weaning from birth day.
3. Adjust the actual weaning weights for the main environmental variables, e.g. age of calf, sex of calf and age of dam. This then produces a corrected or adjusted weaning weight and can be used as
the main trait for selection.
In many breeding schemes, the weights at weaning (whenever the calves are weaned within a limited spread), are converted into a standard 200-day weight which is corrected for environmental effects. The usual technique here is to take 200 days’ worth of the gain between birth and weaning. For this, the birth weight is needed or else some accepted standards are taken. The formula used is:

This 200-day weight can then be corrected for age of dam by adding 15% extra for a 2-year-old dam, 10%for a 3-5% for a 4-year-old and nil fora 5-year-old or older dam. Normally the male and female calves are listed separately so sex corrections are not used. However, a correction for sex (i.e. for the lower mean weight of females below males) could be made.
4. Select for ‘weight of calf weaned’ as a character (WCW) as probably the best all-round measure of production from the cow-calf enterprise. It includes both fertility and growth rate. This trait can then be used to rank each dam by comparing each individual with the average of the group each year.
5. The WCW deviations from average can then be built up into an index, after an adjustment is made for the number of records of each dam so that they are all compared equally. Then all the animals can be ranked on the basis of the one index value. The names for these indexes vary depending on the different schemes in each country. Thus in the USA they are called ‘Most Probable Producing Abilities’ (MPPA), and in other countries they are a ‘Lifetime Productivity Index’ (LPI) or ‘Weaning Index’ (WI).
WCW as a trait has medium heritability, it is easy to measure and it responds to selection. It is, however, recognised as a complex trait as it covers the dam’s reproductive efficiency, freedom from birth problems, lactation, survival, growth and mothering. Nevertheless it is the main money-making trait in beef cattle.
Aim 2: To select for post-weaning growth in replacement heifers and bulls
Action
1. It is usually easier to select for a weight rather than a gain, simply because gain is a calculation based on two weights. The two things (weight and gain) are basically the same in any case. Unfortunately, under some feeding systems such as at pasture, weight and gain have a different heritability so different strategies are needed. The post-weaning gain or weight is simply added on to the already-corrected weaning or 200-day weight.
2. The most common approach is to select for weight at 400 and 550 days of age as further stages along the growth curve. This can be done most effectively in a within-herd performance test where all animals are treated alike and the heaviest ones are kept. As 200-, 400- and 550-day weights are genetically correlated, they will all be improved as will birth weight. Selection for gain would similarly affect these characters.
3. Select for structural soundness and breed acceptability at the end of the performance test using scoring systems, after the ranking on performance is known. A combined weight and physical inspection score can perhaps be used for an overall-merit assessment.
4. If a choice had to be made between 400-and 500-day weights, the 400-day weight would be better as it is nearest to puberty and decisions on which were the best animals could be made before mating as yearlings. If they were not mated until 2-year-olds, then the later 550- day weight would suffice. Selection at the younger age would help to shorten generation interval.
Aim 3: To select for reproduction in the heifer replacements
Action
1. Identify oestrous activity in the heifers by using a harnessed vasectomised (teaser) bull if they are not to be mated as yearlings. If they are to be mated, then those that conceive early may be identified by a harnessed entire bull or by pregnancy diagnosis by a veterinarian.
2. Decide whether the heifers are heavy enough to join with a bull and what is an optimum weight for mating. This depends on the farming system, breed, growth potential up to calving, etc. Many breeders take the view that the bull can decide. Here all the heifers may be joined with the bull and those that are too light, or not pregnant or both can be culled. The culling point can be set by the number of replacements required.
3. The main action is to identify good growth rate, early oestrus and regular calving. There may be some concern over what is meant by ‘good’ growth because excessive rates of growth leading to overfatness may be harmful to subsequent maternal performance. Growth is highly heritable but oestrous activity and pregnancy rate are not. However, weight and reproduction are related phenotypically so putting emphasis on growth will ensure the expression of reproductive potential. Putting selection pressure on the development of puberty is a very sound aim to ensure the improvement of overall reproductive performance – although progress may be slow.
Aim 4: To select for carcass weight and reduce fat
Action
1. The cold carcass weight is easy to obtain from the abattoir or processor and is the major component of profit. The other usefuland easily obtained measure is fat depth at a defined spot e.g. the 13thrib.
As these traits are only available after slaughter, progeny testing could be used to identify superior sires and these could then be used widely through AI within a herd. It would be doubtful if the cost and the resultant longer generation interval would be counter-balanced by the genetic gain. Large numbers of sires would have to be compared e.g. at least 5-10, and sufficient progeny of one sex (10-15) per sire would have to be examined.
2. A possible policy could be to select bulls within terminal sire breeds (e.g. Charolais and Limousin) for carcass traits by examining the bulls themselves by electronic scanning of eye muscle, followed by progeny testing of their sons (as steers) for carcass traits and their daughters for calving difficulty. This would be a large programme requiring many progeny, 200-300 per sire.
3. Assessment of fat cover on the live animal by the use of ultrasonics would be worthwhile, especially on sires. This would at least indicate what variation (phenotypic) was present. This assessment could be used at the end of the within-herd performance test.
CROSSBREEDING
Crossbreeding could be used widely in beef production especially in commercial cow/ calf operations where the dam would be an F1 cross and a large terminal-sire breed would be used to produce the slaughter generation. Crossbreeding may be exploited in more complex schemes (described earlier) to strive to maintain hybrid vigour in maternal and calf traits.
For further reading on beef cattle breeding, see Johansson (Ref 22), Cundiff and Gregory (Ref 24) and Preston and Willis (Ref 25).
DUAL-PURPOSE CATTLE BREEDING
Aim: To select for both milk and beef traits
Action
1. Select for milk production and quality characters as described for dairy cattle.
2. Select female replacements for 400-day weight from a within-herd performance test and then join these to the bull. Then those that became pregnant and calved without difficulty could enter the milking herd.
The main concern is whether there is an antagonism between meat and milk characteristics. Generally there has been shown to be no significant genetic correlation between meat and milk traits so the two aspects have to be considered separately in an improvement programme.
3. Select males for growth in a within-herd performance test. This would identify the best-grown sires, and those from dams with good lifetime dairy records could be progeny tested before widespread use. If the male calves had to be castrated, then they could be used to assess growth and carcass traits of their sires. For further reading see Johansson (Refs 21 and 22).
SHEEP BREEDING
In sheep breeding, the most important records required concern pedigree and fertility, growth, wool production and also, perhaps, aspects of wool quality. Many countries have official national recording schemes and these should be consulted for details. Examples are the Meat & Livestock Commission’s sheep recording service in Britain and Sheeplan in New Zealand. See Owen (Ref 26) for a review of world schemes.
Further comment is necessary on the records needed and used to express flock performance, especially reproductive traits. The basic statistics described here are those of Turner and Young1′ and are fairly universal. The only exception is the term joined which is used to define ewes put with a ram in the same field. This is different to ewes mated which are those actually mated or served by the ram.The basic statistics needed are these:

The most confusing statistic used by sheep breeders is ‘lambing percentage’. By this they can mean any of the following:
LB/EL = No lambs born/100 ewes lambing
Live LB/ EL = No live lambs born/ 100 ewes lambing
LB/ EJ = No lambs born/100 ewes joined
LD/EL = No lambs docked/100 ewes lambing
LD/EJ = No lambs docked/100 ewes joined
LW/EJ = No lambs weaned/100 ewes joined.
DUAL-PURPOSE SHEEP BREEDING
Aim I: To identify and select the best ewes
Action
1. At birth record:
- Lamb number and year born (use permanent tag)
- Dam number
- Lamb sex
- Day born
- Birth rank (single or multiple)
- Birth weight (optional)
2. At weaning record weaning weight (actual) and day of weaning.
3. Select for weight of lamb weaned (WLW) which includes all aspects of reproduction, maternal ability and lamb growth rate. It will be necessary to correct WLW for environmental variables such as:
- Age of lamb (correct to mean weaning age of group)
- Birth/ rearing rank (correct all multiples to single basis)
- Sex of lamb (correct to male basis)
- Age of dam (correct to mature-dam basis)
4. Use WLW to evaluate the productive ability of the dams and their annual performance can be built into a productivity index.
WLW is a characteristic with a medium heritability and is economically very important. All the fertility and survival traits have very low heritability and progeny testing is the only way to identify superior sires. Here the disadvantage of a longer generation interval may have to be accepted as the search for superior rams becomes necessary. In the meantime, selection on the female side can carry on by only keeping replacement rams (and ewes when possible) out of dams that have a high performance expressed as WLW, or NLB, if this suits the particular environmental circumstances.
Aim 2: To select for growth (live weight)
Action
1. Record these most important weights:
- Weaning weight (4 months old)
- Yearling weight (14 months old) or
- hogget 18-month weight (1stjoining)
- 2-tooth or shearling.
All these traits are highly heritable and in the female they are associated (both genetically and phenotypically) with oestrous activity and fertility, especially at the yearling stage.
2. Select on yearling weight and then among the heaviest yearlings further select those that showed oestrus -either to a harnessed teaser ram or an entire.
3. Multiple-reared yearlings may still express an environmental handicap so it may be necessary to make selection decisions within multiple-born and single-born groups and correct them for birth-rearing rank.
This selection for grow this carried out by a within-flock performance test, separately for rams and ewes. The decision has to be made about which stage of growth (i.e. at which weight) decisions should be made, remembering that all growth points are related. There is good evidence that 6-month or 12-month weight is more heritable than weaning weight (2-3 months); therefore weaning weight as well as post-weaning gain would be improved by selection for some later weight, although waiting for the older-age data would take longer.
The animals selected on growth can then be culled for physical defects such as teeth, jaws, feet, reproductive organs and general health. Progeny testing for growth traits need not be considered as they are highly heritable and it would lengthen the generation interval. However, using ram lambs instead of 18-month (2-tooth) rams would reduce the generation interval.
These ram lambs would have to be used before their yearling fleece weight was known so no selection could be done for wool production. Fleece traits are highly heritable and respond to direct selection and could be given attention later on in the programme. This would depend greatly on the relative importance of meat and wool.
Aim 3: To select for fleece weight and quality
Action
1. Select for fleece weight at the yearling stage (their first fleece). This trait is highly heritable and highly repeatable, i.e. it is a good indicator of subsequent annual wool production.
2. Identify the best animals through a within-flock performance test of both males and females run separately. As live weight and fleece weight are related (genetically and phenotypically) then the two traits can be selected together.
The usual way is to cull on live weight, and then cull on fleece weight within the live-weight-selected animals. As fertility and live weight are also lowly correlated (phenotypically and genetically), fertility would also benefit somewhat from the liveweight selection if it were acceptable to have larger sheep with associated effects on stocking rate, etc.
3. Select for quality aspects of the fleece at the yearling shearing. Greater attention could be given to the desired quality traits in the ram thanin the ewe replacements. Greasy fleece weight should remain the main concern except in specialist wool breeds like the Merino where attention must be given to clean fleece weight and other traits.17
MEAT SHEEP
Aim 1: To select for growth
Action
Take a similar approach as for dual-purpose breeds except that more emphasis needs to be placed on growth before weaning but more especially immediately after weaning at the 6-and 12 month stage. In meat sheep, weaning weight is not considered a trait of the dam. Growth traits are highly heritable and progress will be made by within-flock performance testing of ram and ewe replacements.
Aim 2: Select for carcass traits.
Action
1. Select for cold carcass weight as the main character. If there is interest in selecting for other traits of carcass composition(provided that they can be obtained), it is necessary to progeny test sires. This would greatly increase the generation interval and slow up progress compared to, say, using the fastest growing ram lambs on the flock, especially on the young ewe replacements. Perhaps a combined performance then a progeny test of the best bets would be worth considering.
Fatness is another important carcass trait, and electronic methods for measuring fat depth on the ram lamb replacements could especially be considered. Rarely is the extra accuracy from progeny tests for carcass traits sufficient to counteract the costs and time involved.
ARTIFICIAL INSEMINATION
Artificial insemination of sheep is still not widely used in some countries as a means of exploiting top rams. However, there is clear evidence now that greater use of top rams can be achieved by simply altering the mating ratio from one ram to 40 or 50ewes to one ram to 100 or even 200. This helps to increase the selection differential and therefore genetic progress.
CROSSBREEDING
Crossbreeding is used extensively in sheep breeding where a well recognised stratification system has been developed in some countries(such as Britain) where different crossbreds are used to suit different farming systems and market requirements.For further reading on sheep see Turner and Young (Ref 17) and Ryder and Stephenson (Ref 27).
PIG BREEDING
In pigs the breeder is concerned with reproduction, growth and carcass traits. As feed costs make up such a high proportion of total costs, high efficiency in terms of feed to carcass lean meat is vital for the profitability of the pig enterprise.
Aim I: To identify the best sows
Action
1. Record:
- No. pigs born per litter
- No. pigs weaned per litter
- Weaning weight of each piglet
- Age at weaning
- Total weight of litter weaned
2. Record:
- Mating records for each sow
- Day weaned litter
- Day served and return to service
3. Cull sows on fertility and maternal ability by using the total weight of litter weaned. These reproduction traits are weakly inherited, as is weaning weight. The performance of each sow can be built into a productivity index over a specified time. Note that sows may farrow more than once a year.
4. Further culling can be done on physical defects or disease.
Aim 2: Select female replacements (gilts) on growth, conformation and sexual maturity
Action
1. Select for growth on a within-farm performance test. This generally means picking the replacement gilts out of the bacon pens, the culls going straight to slaughter. This ensures that the animals are selected on a commercially viable feeding and management regime. Daily gain has medium to high heritability and has a high negative genetic correlation with feed efficiency. Hence fast-growing and efficient animals will be identified. The total feed consumed should be recorded.
2. At bacon weight the gilts can be examined for structural soundness and any that do not conceive over a restricted mating period can be culled further.
3. The benefits of crossbreeding in fertility, maternal and growth characters in the female have been clearly demonstrated and should be seriously considered in a breeding plan.
Aim 3: Identify the best boars for growth and feed efficiency
Action
1. Select boars for growth through performance testing because of the reasons described for gilts. The boars with the best potential on paper (i.e. out of the best-performing sows by the best proven sires) can be selected at weaning, and then sent to some-central or national performance test centre outside the breeder’s herd. Here the feeding and environmental conditions are kept constant but may differ from the breeder’s own system. If a sufficiently large within-herd performance test cannot be organised (as in a small herd) then central testing facilities may need to be used.
2. Select the best-growing boars out of the bacon pens as for gilts if they can be left entire up to this stage. Remember that if they are fed in small groups or groups of different sizes, there could be bias caused by ‘group effects’. Individual penning or individual feeding with group housing should be the aim for technical accuracy. It must be decided whether to feed on a restricted scale based on weight or on an ad libitum system. Whatever system is used, the quantity of feed consumed and analysis of feed for energy and protein level should be recorded.
3. If all the males cannot be left entire until the end of the test (pork or bacon weight), then decisions will have to be made on pedigree and performance of relatives to screen prospective animals for testing.
4. If different breeds are concerned in performance testing, they should be housed separately. The end of the test is usually a fixed live weight when the boars can be inspected for structural soundness and breed characteristics. Backfat-depth measures are highly heritable so the use of ultrasonic data can be valuable in identifying those animals that had high growth and low backfat.
Aim 4: Progeny test boars for carcass traits
Action
1. Progeny testing boars for carcass traits is needed because the important ones can only be assessed after slaughter. The exceptions are backfat and eye muscle area that can be measured by ultrasonics. Most of the important carcass traits are highly heritable1. Progeny testing boars for carcass traits is needed because the important ones can only be assessed after slaughter.
The exceptions are backfat depth and eye muscle area that can be measured by and can be measured objectively. The aim is to reduce fat -principally backfat. Backfat and length are negatively correlated (both phenotypically and genetically) so increasing length is a commendable aim. Progeny testing requires large facilities as in other animals and lengthens the generation interval. However, top proven boars can be used through A1 in small herds with no testing facilities.
CROSSBREEDING
Crossbreeding is used widely in pigs, especially to develop F, sows to improve maternal and growth traits through hybrid vigour. Many new breeds have been developed from these crossbreds.
For further reading on pig breeding see Johansson (Ref 22) and Rice et. a1.(Ref .23).
POULTRY BREEDING
The main trait to record in poultry breeding programmes is egg production, often expressed as the’hen-housed average (HHA). This is the mean production per bird over the number of birds present (i.e. housed) at the beginning of the period. It also includes mortality over the period.
Body weight is important and birds are easily weighed while suspended in an open-ended funnel. It is also necessary to record the feed consumed because it is the major input (approximately 80%) of the poultry enterprise.
In meat birds, carcass weight is the basic trait and if carcass dissection is carried out, the proportion of breast and thigh meat to total carcass meat is valuable information. Dissection, however, is usually very expensive in terms of labour.
EGG PRODUCTION
Aim 1 : To increase egg number, egg size and weight
Action
1. Select directly for these traits. They are all basic to the profitability of the commercial laying enterprise and are all correlated both phenotypically and genetically. Increasing egg number can result in the production of a greater number of smaller eggs and each egg will be of lighter mean weight unless some counter action is taken. These traits are moderately heritable, so respond to selection.
However, exploiting non-additive genetic variation through hybrid vigour has been widely used and most laying strains on the market are hybrids (see earlier).
Aim 2: To reduce body weight and improve feed conversion efficiency
Action
1. In egg strains, reduce body weight and hence reduce maintenance costs through a lower appetite and possibly also achieve a greater feed conversion efficiency (FCE). However, FCE would have to be selected for directly to ensure progress.
2. Use performance testing as an initial screening operation to identify good individuals (males) and this could be followed by progeny testing. Selection techniques as described on page 105 would be used where possible. The individual bird can be very widely exploited for genetic reasons through the large number of eggs one female can lay, and males can be used widely through AI.
Aim 3: To improve livability
Action
1. Adopt the simple approach by only concentrating on the main diseases that do not respond quickly and cheaply to husbandry techniques. Performance test for these by keeping the best performing animals in the disease environment. This is a difficult area as there are now so many diseases to which birds can be exposed.
2. Progeny test to check that the disease resistance has been passed onto the commercial market progeny and is expressed in different environments (husbandry systems).
Aim 4: To improve egg quality
Action
1. Select directly for the main traits of importance. These are shell strength (important in collection and storage), shell colour (in some countries consumers prefer brown or tinted eggs to white), yolk colour (bright instead of pale yellow), texture of white, freedom from blood and meat spots.
2. Identify the superior parents by performance testing and then progeny testing. These parents can then be used in family selection and exploited through crossing and heterosis described earlier.
MEAT PRODUCTION
Aim I : To improve carcass weight and conformation, and to reduce fat content
Action
1. Adopt the same techniques as discussed for other poultry traits. Carcass weight and conformation have fairly high heritability and respond to selection through performance testing. Fat (which in the fowl lies inside the body cavity) can be accurately assessed and selected against, depending on consumer preference.
In meat birds, egg production is still important as it is an essential part of multiplying the highly selected birds to meet the market’s orders. This problem is often attacked, especially in turkeys, by crossing a sire (meat) line with a female (egg laying) line to produce the market hybrid.
For further reading on poultry breeding see Lerner (Ref 20).
Breeds and breed structure
The definition of a breed can only be very general. It is a group of animals, within a species, that has a common origin and certain physical characters that are readily distinguishable. Once these physical traits are removed, e.g. by skinning after slaughter, it often becomes difficult to tell breeds apart. Thus the physical features act like a breed label.
Isolation by barriers .(e.g. mountains and seas), regulations, social differences among their users and fashion have all helped to keep breeds separated. In genetic terms, isolation caused the genotype to drift apart (genetic drift). Genetic differences within breeds can be large and in some cases can be as big or greater than those between breeds.
The structure of a breed is important as it controls the way in which genetic improvement flows throughout the breed. Breeds are best visualised as a hierarchy, drawn as a triangle.

In the traditional structure (Fig 32) at the very top of the triangle there are pedigree registered breeders (sometimes referred to as elite or stud breeders). Then there is a layer of other pedigree breeders who multiply the material from the elite breeders.
Below the registration barrier are the non-pedigree commercial breeders who receive the genetic benefits of those breeders above the barrier. Genetic material flows down through this structure, usually by the sale of males. The flow can be hastened by A1 so that semen from the elite breeders’ animals can go directly into flocks or herds in the base.
So the whole system is based on the assumption that the elite breeders are making progress and that this is being constantly released. Usually the elite breeders improve by exchanging males amongst themselves or by importation from outside, e.g. from the home of the breed where there is likely to be another similar structure.
This structure can be criticised from a genetic viewpoint because:
1. The flow is one-way and genes cannot flow up into the registered areas from the non-registered part, unless the flock and herd-books are still open. Generally they are closed.
2. The barrier is simply a ‘registration’ barrier and not a ‘performance’ one. New stud breeders usually have to start by buying surplus registered females (often culls) from other studs. They usually cannot start by using good-performing commercial stock and having them registered.
3. The registered flocks and herds are generally made up of small numbers of animals hence the opportunities for selection are greatly restricted. Scope for selection is clearly greatest in the larger flocks and herds in the commercial area although here there are usually practical difficulties in recording large numbers of animals.
A suggested improvement to the breed structure would be that shown in fig. 33 where animals with good performance could flow from base to apex. The former registration barrier is then replaced by a performance barrier.

BREED ASSOCIATIONS
The term breed association is used here to include breed societies, livestock record associations, etc. Lerner and Donald (Ref 1) gave an admirable summing-up of the history and role of breed associations where they pointed out that breed associations are often part of the cultural inheritance of many countries. Breed associations are regularly criticised by technical people and this criticism can probably best be summed up in a series of questions such as follows:
- What do breed associations do?
- Are they really needed?
- Why have some of them (e.g. in poultry and pigs) disappeared?
Views tend to be polarised into those ‘for’ and those ‘against’. Here are some examples to illustrate the argument:
Points for
1. A breed association takes responsibility for a breed and this is both a physical responsibility (i.e. administration) and a moral one. It is an obvious source of information for performance specifications, sales, standards, exports and imports, etc.
2. It is a reliable body for collecting and recording the ancestry of all animals in the breed for all time. It can thus trace the ancestry of any individual back to the source of the breed and hence ensure its ‘breed purity’.
3. It can provide a focus for breed promotion for members through sales, field days, demonstrations, conferences, advertising, and so on.
Points against
1. The effort and expense breed associations spend on recording extended pedigrees and producing flock and herd books is unnecessary. Recording pedigrees without performance is out-dated and serves little purpose.
2. Breed associations are usually too concerned with self-preservation. Their councils generally have many more older-established breeders than younger breeders, hence the chances of new ideas and rapid changes are limited.
LIVESTOCK SHOWS
The fortunes and future of livestock shows and breed associations are closely linked and any discussion of the subject among breeders, farmers and scientists again reveals that views are generally polarised.
Polarisation mainly occurs between those who believe that animals should only be compared using performance data, and those who believe that physical appearance is adequate for comparison. There are currently plenty of people who believe that both performance and physical data should be used but the question of how it should be done remains to be answered adequately.
Some discussion points for and against showing are:
Points for
1. Shows are the ‘shop window’ for the breed where ‘good’ specimens, (i.e. approved by the top judges) can be seen by all who are interested – breeders and buyers alike.
2. Young breeders can see the ideal to aim for and the only place to identify this aim is in a competitive show.
3. Shows provide a meeting place for breeders and .buyers. They can become discussion and education areas among the people involved in the industry.
4. Shows provide a valuable way of bridging the ever-increasing gap between urban and rural people throughout the world. Town people can see and touch animals and talk to their breeders and owners: this is becoming very important in an age of increasing urbanisation.
5. As a result of the open competition at shows, superior animals are identified and these can then go to influence the breed’s future either through use in the top flocks or herds (that also support shows) or through artificial insemination.
Points against
1. The definition of ‘best’ is usually based solely on physical form or type, and this is usually strongly biased by personal fancy and rarely proven fact. Indeed, the commercially superior animal may never be exhibited.
2. Shows encourage excessive pampering and gross over-feeding which are completely unrelated to commercial practice. As a consequence show results are generally ignored by commercial farmers.
3. Any comparison between animals (even if backed by performance data) cannot be valid because of the confounding influences of the different environments from which they came. Comparing animals at a show is really more a comparison of the stockmen who prepared them for exhibition.
4. So few animals from a population are exhibited that it cannot be assumed that they are the best specimens of the breed for future exploitation. Even when as in some shows, sires and a group of their progeny are exhibited, the non-random selection of progeny invalidates the comparison.
There remain many breeders who believe that showing improves their returns sufficiently to provide support for shows. There is an increased interest in improving the design of livestock shows to make the exhibition of stock more related to commercial needs. Already in some quarters there is a change from competitive showing to more of a demonstration of superior animals. There is clearly a demand for permanent areas to provide demonstration information about animals and many have been built in different countries.

CO-OPERATIVE BREEDING SCHEMES
Interest in co-operative breeding schemes is generated by the basic genetic principle that it is possible to apply more selection pressure in a large population than in a small one. There is no reason why small breeders cannot exploit these benefits through co-operation among themselves. The principles of a group-breeding scheme are very simple and are described in fig. 34. This shows herds of different size from which females can be screened to form a nucleus and arrows are used to denote the females going into the nucleus and males returning to the contributors.
Further details of these schemes can be described in the following suggested programme for setting up a breeding project:
(a) Form a group of interested breeders to discuss the concept and the business, legal and genetic aspects of the scheme – probably in this order of priority.
(b) Each breeder contributes the top performing females in his flock or herd to a central unit (nucleus). This is the concept of’ ‘screening’ the population for the good females.
(c) Decide where the nucleus is to be located and how it is going to be managed. The manager is a most important person in controlling the actual level of performance achieved in the nucleus.
(d) Decide on an exchange rate of top females in to the nucleus for selected sires out. Usually a ratio of four females in: one male out is a useful starting point. This can be based initially on commercial value when genetic merit is unknown.
(e) Continue screening in each contributor’s flock or herd and selection in the nucleus. It isvitalthat this selection is based on productive fact and not fancy. Conformation traits are important as long as they encompass structural soundness, but these traits should be clearly defined for the benefits of all members of the group so that they do not swamp productive traits in the order of priority.
(f) Replacements can be obtained from those bred within the nucleus and from animals screened in. Initially half can be nucleus-bred and half can be screened until the programme develops.
(g) Within the nucleus, the top performing females will acquire elite status as more performance data accumulate. These females must then be mated to the top sires within the scheme to breed sires for use within the nucleus.
It is important to realise that most genetic progress comes from the high selection pressure made possible in the initial screening operation. After that, genetic progress will depend on effective selection, as in any other flock or herd.
An interesting outcome of these group-breeding schemes has been the great educational and extension potential that they have. At group meetings and field days, especially on the annual occasion when all members are present to select their sires, unrestricted argument and discussion can take place among breeders with a common overall interest – to breed better stock. This has certainly been a highlight of the many schemes in both cattle and sheep operating in Australasia.
The possible use of such schemes in developing countries is also worthy of study, because the limited technical expertise available there – could be concentrated in the central nucleus where sires could be bred from screened females to give back to contributors.
ARTIFICIAL INSEMINATION (AI) AND OVUM TRANSFER (OT)
A1 has been used long enough in farm animals now to be accepted as a very powerful tool for spreading genetic merit in a population. It has been most clearly demonstrated in dairy cattle. Its impact is simply to broaden the base of the hierarchy and flatten the base of the triangle shown in fig. 32 so that fewer sires are spread over a wider base.
It is also realised that A1 has an enormous power for good or evil in a population so everyone is concerned that the best males only are used. This means that the most efficient methods of identifying them are found so that breeders’ commercial needs and profitability are given top priority.
Concern arises periodically about the power that large A1 organisations have over decisions on sires and whether they are so record-conscious (or biased) that they neglect aspects of conformation and type. These arguments will continue as long as A1 organisations have to be profit-motivated and competition exists between them.
The international demand for semen from top sires of all farm animals will grow rapidly -hence the responsibility on breeders to improve them will also increase. A1 has allowed very large selection pressures to be used in the drive for maximum genetic improvement and a typical example would be in dairy sires where the total genetic gain was obtained from three different sources as follows:
Sources of total genetic gain (New Zealand data):
- Selection among bull mothers 25%
- Selection among young bulls 70%
- Selection among cows to breed
- heifer replacements 5 %
- Total genetic gain 100%
Most gain (70%) comes from selection among the team of young bulls which are bred from about 2-5% of the best dams in the population followed by selection among bull mothers.
Ovum transfer (OT) could make a contribution in the breeding of bulls and cows to breed heifer replacements but it could also increase the inbreeding level. Probably the greatest use of OT would be within a breeder’s herd where he had identified individual dams or families that he wanted to multiply.
By using the older proven dams for OT, all the ‘wear and tear’ genes are automatically included and if mated to a top proven sire then progress would be ensured. The generation interval would have increased, however, by using old dams. OT could certainly contribute to at least 50% of the genetic gain in a herd but again inbreeding would have to be considered. OT is avery valuable technique for multiplying stock in very short supply.
TESTS AND TRIALS
The breeder or commercial purchaser of stock is concerned all the time with comparisons among animals. The whole stock-selling business is based on this concept because as soon as words like superior, top quality, good or bad, etc. are used the reply should be: ‘compared to what?
These salutations of merit are not always based on valid comparisons, so in looking at comparative trials, it is most important to study the details of the trial as these are usually vital to understanding the results obtained. The farmer has special problems to consider and these are usually concerned with whether the results would apply on his farm under his system of management. Some typical questions are these:
- Were the animals used typical of the breed or theclass of stock he was running?
- Was the feeding and management system used typical of the commercial challenge the stock would get on his farm?
- Could he get access to the same type of sires as used in the trial?
- Were the trials run over a long enough period to cover both good and bad seasons?
- Were all the animals in the trial bred in the trial environment, or were they bought in?
The point to stress is that everyone should be aware of these aspects and should seek information from the appropriate advisory authorities before making decisions.
RANDOMISATION
The aim in randomisation is simply to remove bias in groups of animals or make them as equal as possible. So in progeny testing, for example, the original females should be divided at random for mating to each sire to be tested. Also, if all the progeny of a sire cannot be tested, then again there is a need for the random sampling of those available.
There are a number of ways to do this:
- If the animals are individually identified (e.g. by tags) then allocate them to groups in the office using a table of random numbers. These can be found in books of statistical and mathematical tables (see Fisher and Yates Ref 28) or Appendix 11. The last digits in a telephone directory can also be used. Each animal is allocated to the group in the order of the random numbers.
- The individual numbers of all the animals can be written on small tickets and then they are put into a hat or a box. After shaking, the tickets are drawn out and allocated to each sire group.
- In the stock yards, if the stock all come in as one age group, then they can be drafted-off depending on the facilities.
- If three groups are needed and there is a three-way drafting system, then the animals are taken off in the order of 1, 2, 3, and 1, 2, 3, etc. If seven groups are needed for example, the method is to draft three ways as before but the first draft will take off groups 1 and 2, and 3, 4, 5, 6, 7 will go into another group. The mob is then run through again to split the mixed group into 3 and 4, and (5, 6, 7). One more draft will then split 5, 6, and 7 into three separate groups.
An important practical point isto make sure that each group is drawn from the whole mob, so groups 1 and 2, for example, are drawn proportionately from the whole mob as it goes through the draft. The greatest risk is that some animals that come into the yards last and stay at the back of the mob would not be truly sampled, and they would all end up in the final group.
The chances are very high that they would be an a typical group, e.g. a lower social order, or older and perhaps with some sick animals among them. Mixing up the mob periodically is good practice by walking among them before starting to draft.
Randomisation into groups is best done within age if possible, and if there is a wide difference in size or weight among the animals it could be done within these groups also. Where breeding indexes are known, randomisation should be done so that each sire to be tested ends up with dams of similar index in each group.
PRE-TEST ENVIRONMENTAL PROBLEMS
A major problem when comparing animals is to find out what happened to the animals prior to the test. This is referred to as the ‘pre-test environment’ and deals with the problem of confusing genetic assessments during the test with environmental influences that happened before the test.
This is seen particularly in performance tests of males where the test-period starts after weaning, and such environmental variables as age of dam, age of animal itself, litter size in which born, milk yield of dam, etc. are all confusing the true genetic assessment for growth. Many breeders want the maternal traits included in the animal on test, so they feel a high weaning weight is important to show that the animal had a good dam.
There seems little chance of finding solutions for all these points so that all are satisifed. It seems that the only way would be to start comparisons at birth so that the animals on test were artificially reared. If natural rearing were required, the dams of the animals for testing would have to be run together – probably from early pregnancy – so a simple performance test would end up as an enormous operation in terms of costs and facilities.
Compensatory growth also has to be considered because what happens in the test can be greatly influenced by the pre-test environment. For example, a bull that had a poor dam and had run on hard country would probably respond better to the good conditions in a central performance test than a bull from a very good farm that had been super-fed before the test. Often a ‘settling-in’ period at the start of the test has been tried to allow for these compensations to sort themselves out. This can rarely be achieved and many view the whole test period as a ‘settling-in’ period. Even this is not adequate as some animals will never get over the effects of their early pre-test environment.\

CORRECTION FACTORS
To make valid genetic comparisons between animals, it is necessary to try and remove the bias caused by the main environmental factors present. This is done by using correction factors. Breeders often findthe explanation of correction factors difficult although they recognise the need for them. The importance of different environmental factors can be seen from some approximate causes of variation in the weaning and yearling weight of beef cattle farmed under pastoral conditions, and the weaning weight of sheep (table 15).
The variation remaining after these sources of variation have been removed is that due to genetic differences (i.e. the animal’s Breeding Value) plus a complex of unexplained environmental differences. The aim is to balance up the animals before comparison so that they are compared on the basis of all being born in the one year, from the same age of dam (a mature dam), of the same sex (a male) and all born on the same day. In sheep it is necessary to add in corrections for birth and rearing rank, i.e. to have been born and reared as a single. An example of a calculation for sheep is shown in table 16.

Here lambs 250 and 251 are twins reared as twins so each one receives 4.2 kg to make each of them equal to a single reared as a single. Their dam is a 2-year-old (2-tooth) hence each lamb gets a further bonus of 1.3 kg each. The lambs were one day (+ 1) older than the average of the flock so it loses 0.17 kg for that. Thus to the actual weight of each lamb is added (4.2 + 1.3)-0.1715.33 kg.
The lamb 120 was born a twin but its co-twin 121 died so 120 was reared as a single. It receives + 2.0 kg for being born a twin, +0.2 kg because it is out of a 3-year-old ewe, +0.34 kg because it is two days (-2) younger than average. All this adds up to(2.0 + 0.2 + 0.34) = 2.54 kg which when added to the actual weight of 25 kg gives an adjusted weight of 27.5 kg.
These correction factors are computed from various research trials and large amounts of data that have accumulated in large breeding programmes.
Discussion and argument among scientists and breeders usually centres around how these correction factors should be calculated and how applicable they are to specific flocks and herds. This is especially
the case in national recording schemes.
Correction factors can either be additive where a definite amount of weight, for example, is added to the animal’s weight, or they can be multiplicative where a proportion of the animal’s weight is added on. A lot of discussion usually occurs over which of these two is most appropriate. The difference between the two is described in figs 35 and 36.

In fig. 35 the line AB represents the performance of the standard animal to which the others have to be corrected. The mean is shown as a dot and the spread around it (i.e. the standard deviation) is the line AB. Another animal CD has a lower mean performance for some environmental reason that has to be corrected for. Note that the spread CD is the same as in AB. The task here is to correct CD up to A’B’. This is done by an additive correction factor that adds on the difference between the two means.

In fig. 36 things are different. Here the performance of CD has both a lower mean and less spread (low standard deviation) so moving it upwards to EF is not sufficient. It needs a multiplicative correction to widen out EF to A’B’ which is then equal to AB. This multiplicative method thus increases the variation and the mean.
COSTS AND BENEFITS OF GENETIC IMPROVEMENT
Breeding improvements are noted for being long-term and hence generally slow to yield a financial return. Often there is a large initial expense in, say, buying stock and setting up the programme followed by a long wait before the ‘pay-off starts. Nevertheless, breeders must face the challenge of having to account for their plans and to do this the technique of discounted-cash-flow accounting has been developed.
This can be explained in an example:
Assume that the money invested in a programme is going to yield 10% return per year, then this becomes a simple calculation of compound interest. For example, for 100 units of currency (pounds, dollars, etc.):
- Present value = 100 units
- Value one year ahead =100+(10%of100)=100+10=110
- Value two years ahead = 110 + (10% of 110) 110 + 11 = 121
- Value three years ahead= 121 + (10% of 121): 121 + 12= 132 and so on.
To calculate the present value of money earned from the programme in future sale of stock etc., a reverse calculation of compound interest is used. Thus 100 units of currency earned in the future is now worth:
- Money earned 1 year ahead = 100 – (10% of 100) = 100 -10 = 90 now
- Money earned 2 years ahead = 90 – (10% of 90) = 90 – 9 = 81 now
- Money earned 3 years ahead = 8 1 – (10% of 8 1) = 8 1 – 8 = 73 now
Hence by this procedure, all returns and expenses made in different years can be reflected back to the base year and by adding them up an aggregate profit can be calculated in any one year – at current values. For further reading see Bowman (Ref 15).
REFERENCES
1. Lerner, I. M. and Donald, H. P. (1966) Modern developments in animal breeding. Academic Press.
2. Hammond, J. ed (1955) Progress in the physiology of farm animals. Volumes 1, 2 and 3. Butterworth Scientific Publications.
3. Hammond, J. (1956) Farm animals. Their breeding, growth and inheritance. 2nd edn. Edward Arnold.
4. Berg, R. T. and Butterfield, R. M. (1976) New concepts of cattle growth. Sydney University Press.
5. Kelly, R. B. (1949) Sheep dogs. 3rd edn. Angus and Robertson.
6. Sinnott, E. W., Dunn, L. C. and Dobzhansky, T. (1958) Principles of genetics. McGraw-Hill.
7. Strickberger, M. W. (1968) Genetics. Macmillan.
8. Winters, L. M. (1948) Animal breeding. 4th edn. John Wiley and Sons.
9. Lush, J. L. (1945) Animal breeding plans. 3rd edn. Iowa State College Press.
10. Auerbach, Charlotte. (1962) The science of genetics. Hutchinson.
11. Carter, C. 0 . (1962) Human heredity. Pelican Books.
12. Hagedoorn, A. L. (1946) Animal breeding. 2nd edn. Crosby Lockwood.
13. Wright, S. (1968) Evolution and genetics of populations. Volume I. Genetic and biometric foundations. 1st edn. University of Chicago Press.
14. Lerner, I. M. (1968) Heredity, evolution and society. W. H. Freeman and Co.
15. Bowman, J. C. (1974) An introduction to animal breeding. The Institute of Biology’s Studies in Biology No. 46. Edward Arnold.
16. Falconer, D. S. (1960) Introduction to quantitative genetics. Oliver and Boyd.
17. Turner, H. N. and Young, S. S. Y. (1969) Quantitative genetics in sheep breeding. Macmillan.
18. Kelly, R. B. (1960) Principles and methods of animal breeding. Revised edn. 1960. Angus and Robertson.
19. Snecodor, G. W. and Cochran, W. G. (1967) Statistical methods. 6th edn. Iowa State University Press.
20. Lerner, I. M. (1958) The genetic basis of selection. John Wiley and Sons.
21. Johansson, I. (1961) Genetic aspects of dairy cattle breeding. University of Illinois Press.
22. Johansson, I. and Rendel, J. (1968) Generics and animal breeding. W.H. Freeman.
23. Rice, V. A., Andrews, F. N., Warwick, E. J. and Legates, J. E. (1962). Breeding and improvement of farm animals. 6th edn. McGraw-Hill.
24. Cundiff, L. V. and Gregory, K. E. (1977) Beef cattle breeding. United States Department of Agriculture, Agricultural Research Service AGR 101.
25. Preston, T. R. and Willis, M. B. (1970) Intensive beef production. Pergamon Press.
26. Owen, J. B. (1971) Performance recording in sheep. Technical Communication No. 20. Commonwealth Bureau of Animal Breeding and Genetics, Edinburgh.
27. Ryder, M. L. and Stephenson, S. K. (1968) Wool growth. Academic Press.
28. Fisher, R. A. and Yates, F. (1948) Statistical tables for biological. agricultural and medical research. 3rd edn. Oliver and Boyd.
APPENDIX 1
The coefficient of inbreeding
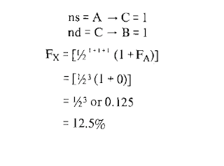
When apopulation is closed(i.e. no more genetic variation is introduced from outside) and breeding continues at random, then it is inevitable that there is a slow build-up in the level of inbreeding through relatives mating together. The rate at which the resulting heterozygosity is reduced (or conversely the homozygosity increased) is described by Lush’s formula (Ref 9).

Thus in a herd of two sires and forty females this means that (1 / 16 + 1 / 320) or about 6.6% of the heterozygosity is lost. Generally the males are least in number so the l/gM part of the formula is the most important, and the ‘/sF part can often be ignored. The above formula describes the situation in whole populations but when it comes to examination of inbreeding in individual pedigrees, Professor Sewell Wright’s formula is generally used (Ref 13).

This is as follows:
The important points when working out an inbreeding coefficient are these:
(a) Recognise and mark the common ancestors in the pedigree (i.e. the same animal on both the sire and dam’s side).
(b) In complex pedigrees draw an arrow diagram to simplify the recognition of the lines of descent from the sire backvia the common ancestor to the dam. This is where care is needed to avoid errors.
(c) Remember that although we are concerned with the subject animal of the pedigree, the lines of descent end at the sire and dam. It is because these are related that the subject is inbred. The offspring
would not be inbred if the parents were unrelated to each other, even if each parent were itself inbred.




If H had been inbred, say 25%, then the expression (1 + FA) would have had a value greater than one and the formula would have been:

Note that although F and G appear on both sides of the pedigree, they are ignored as they are the sire and dam of C and appear in the pedigree only via the animal C. Most texts cover the calculation of the coefficient of inbreeding in detail using many examples (Refs 9,16,18).
THE COEFFICIENT OF RELATIONSHIP
This is used to describe how closely related two animals may be and is calculated by another formula (Refs 9, 16, 18). A useful short-cut method to find the relationship between one animal and another is to work out the inbreeding that would result if they were mated together (regardless oftheir sex) and then double this figure to give the coefficient of relationship.
APPENDIX II
Random numbers

GLOSSARY
Abortion: expulsion of the foetus from the uterus, usually caused by disease or injury.
Ad libitum: describes a feeding system where the feed on offer is not restricted in any way.
Additive: combined.
Albinism: complete absence of pigmentation.
Allele: any one of the alternative forms of a gene occupying the same locus on a chromosome.
Amniotic fluid: the fluid around the foetus.
Antibody: defensive substance produced in the animal as a response from invasion by an antigen. Antibodies confer immunity against subsequent re-infection by the same antigen.
Artificial insemination (AI): the technique of collecting the male sperm and inserting it via a pipette into the female reproductive tract.
Artificial selection: selection caused by man’s decision. Opposite to natural selection caused solely by nature.
Assortative mating: mating between animals that are alike in looks or performance.
Autosomes: the ordinary chromosomes of the animal as opposed to the sex chromosomes.
Back-cross: a cross between an F, (first cross) and either of its parents.